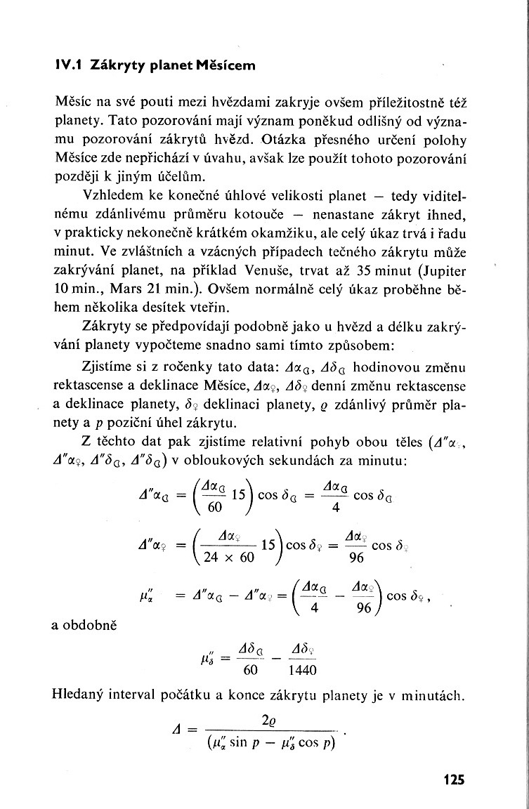
124.jpg124.jpg