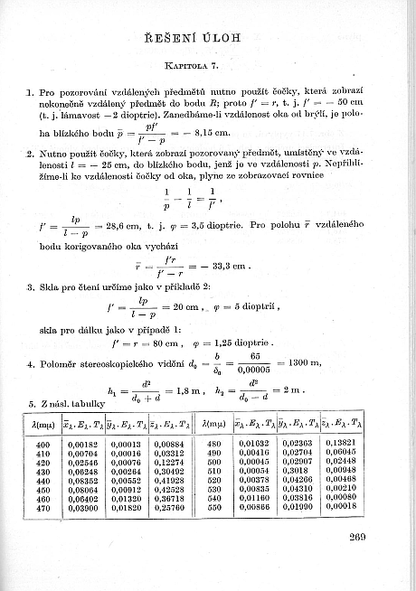
t268.pngt268.png