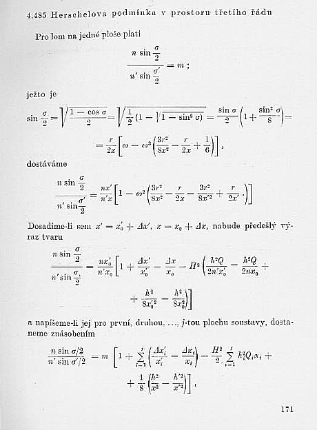
t170.pngt170.png