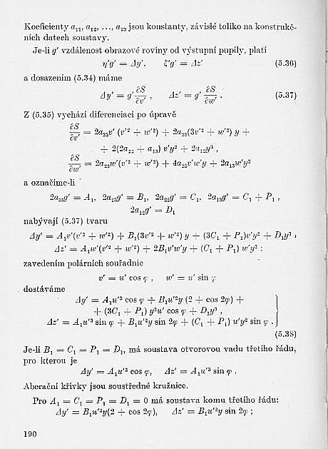
t190.pngt190.png