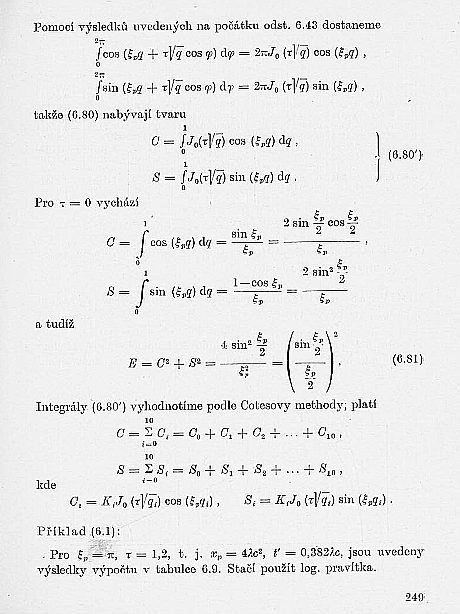
t248.pngt248.png