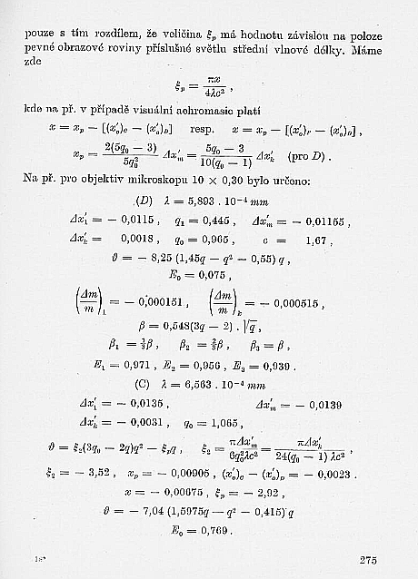
t274.pngt274.png