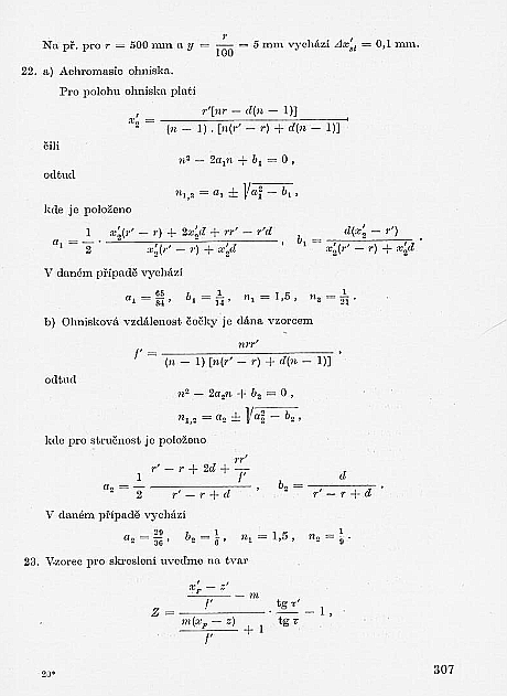
t306.pngt306.png