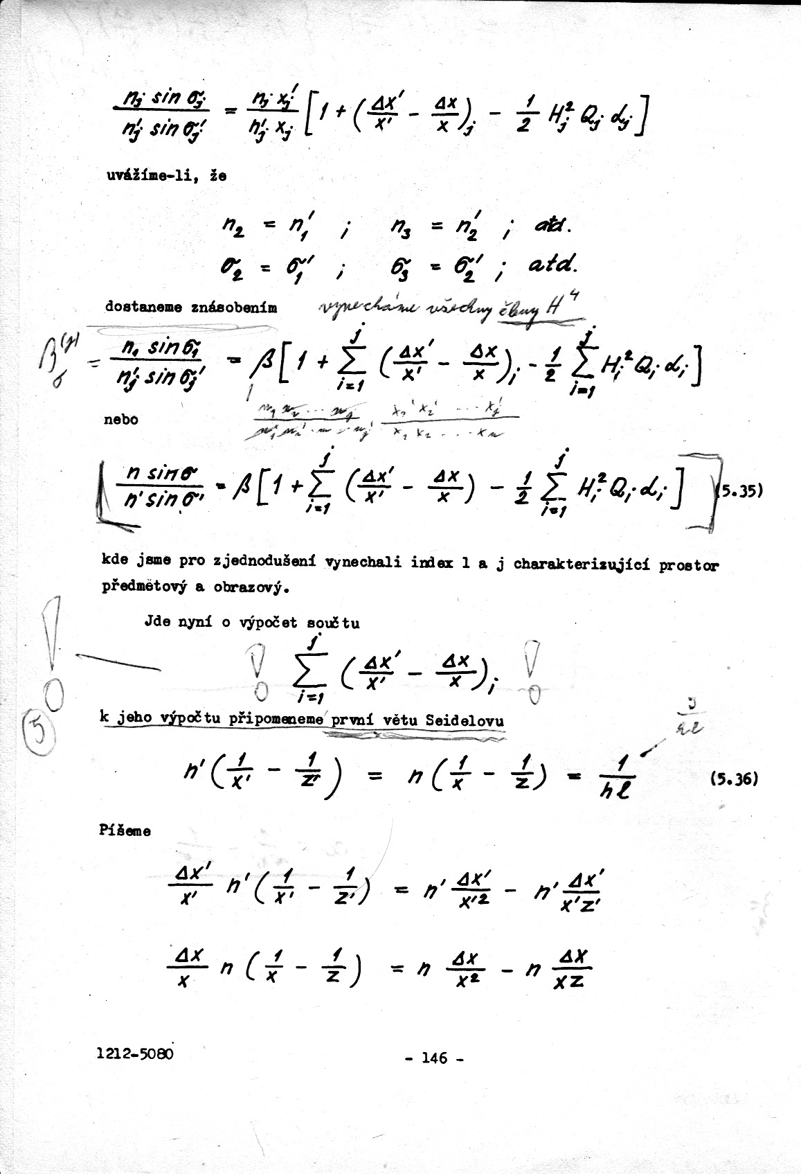
146.jpg147.jpg