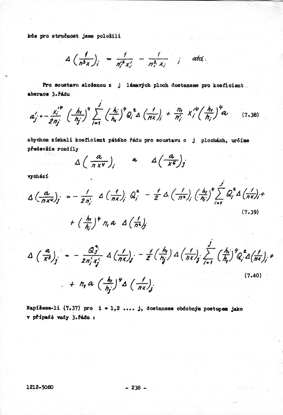
238.jpg239.jpg