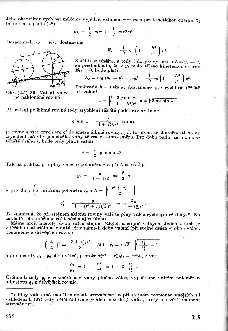
252.jpg252.jpg