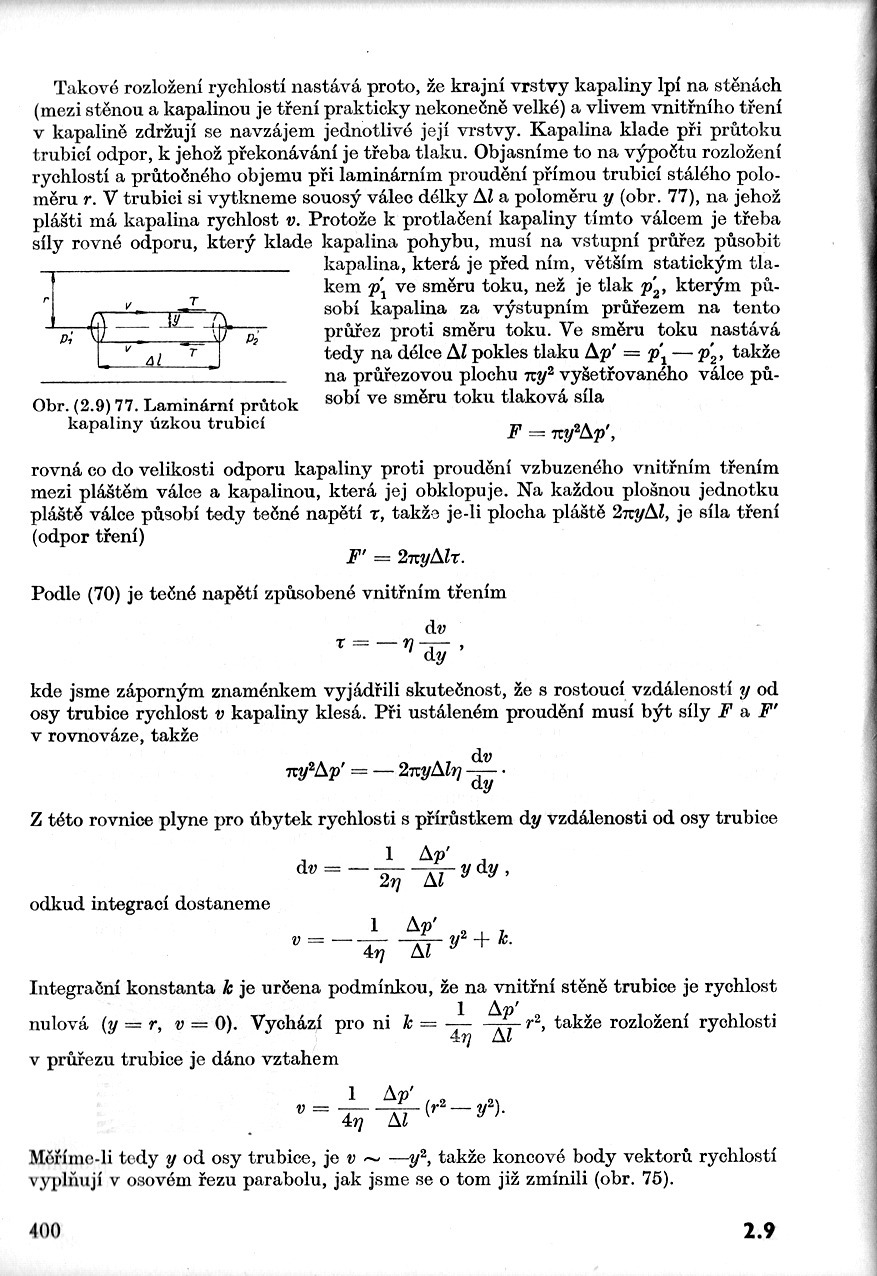
400.jpg400.jpg