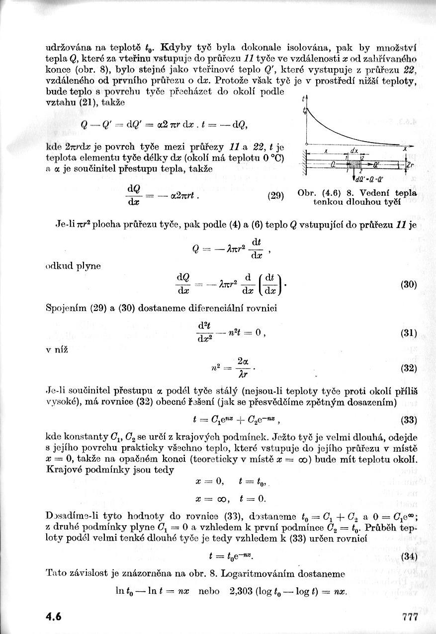
776.jpg776.jpg