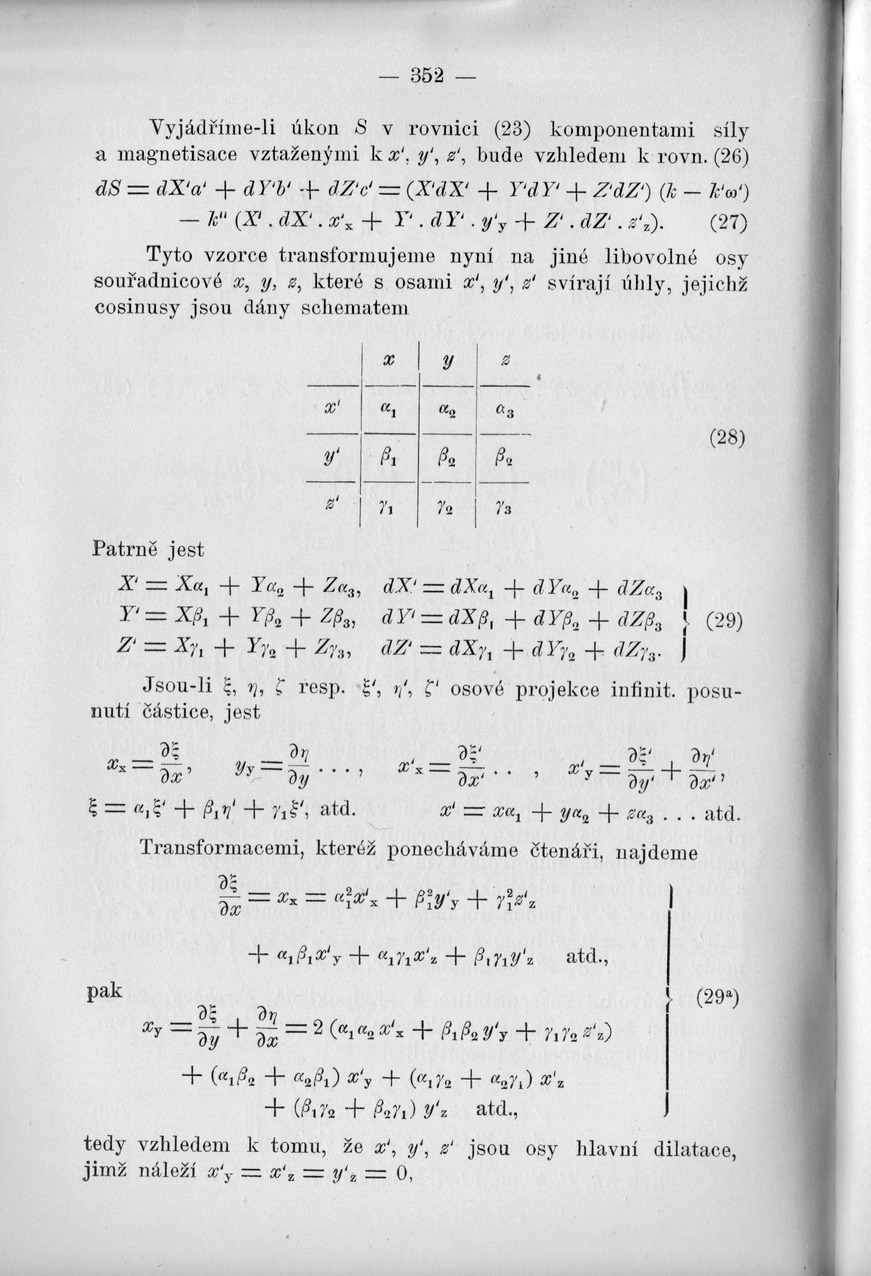
352.jpg352.jpg