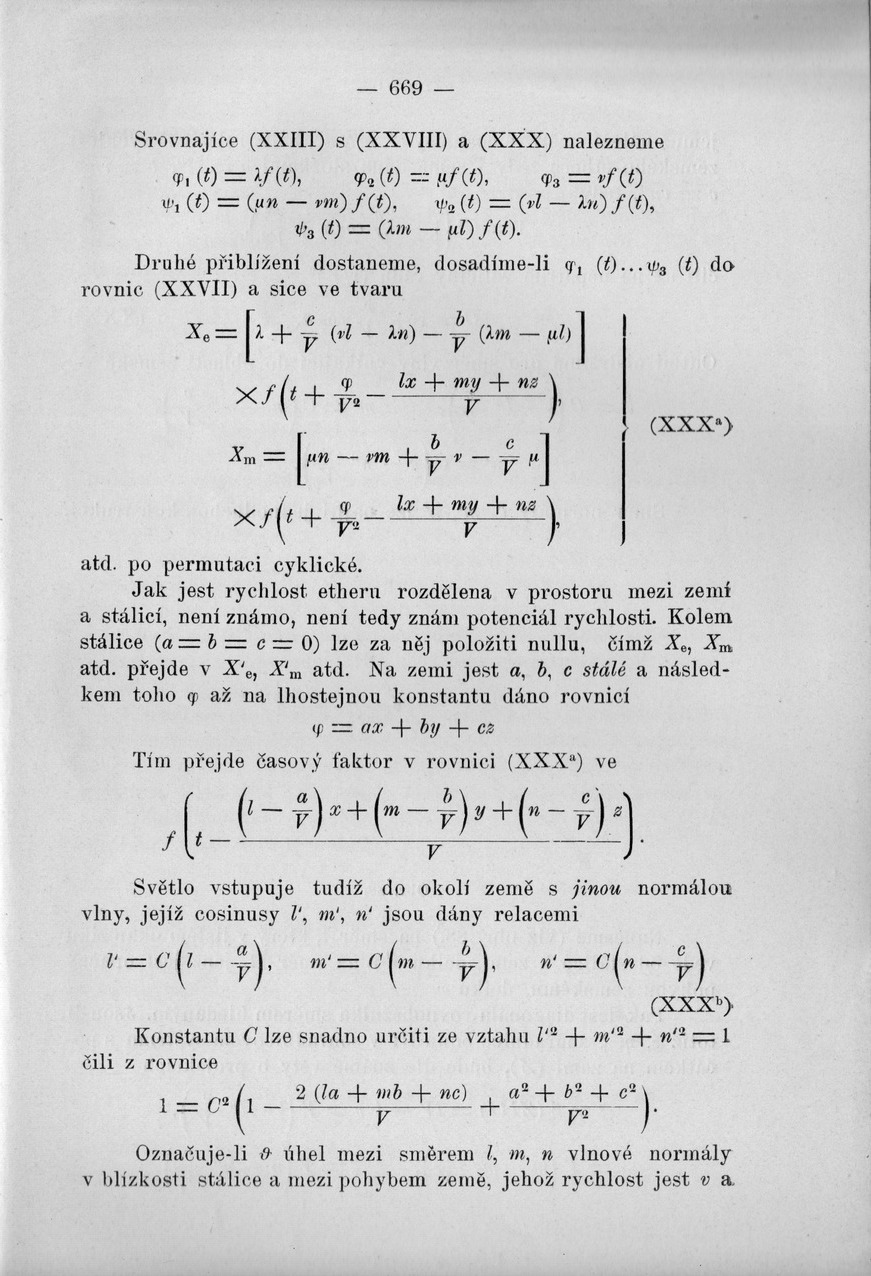
668.jpg668.jpg