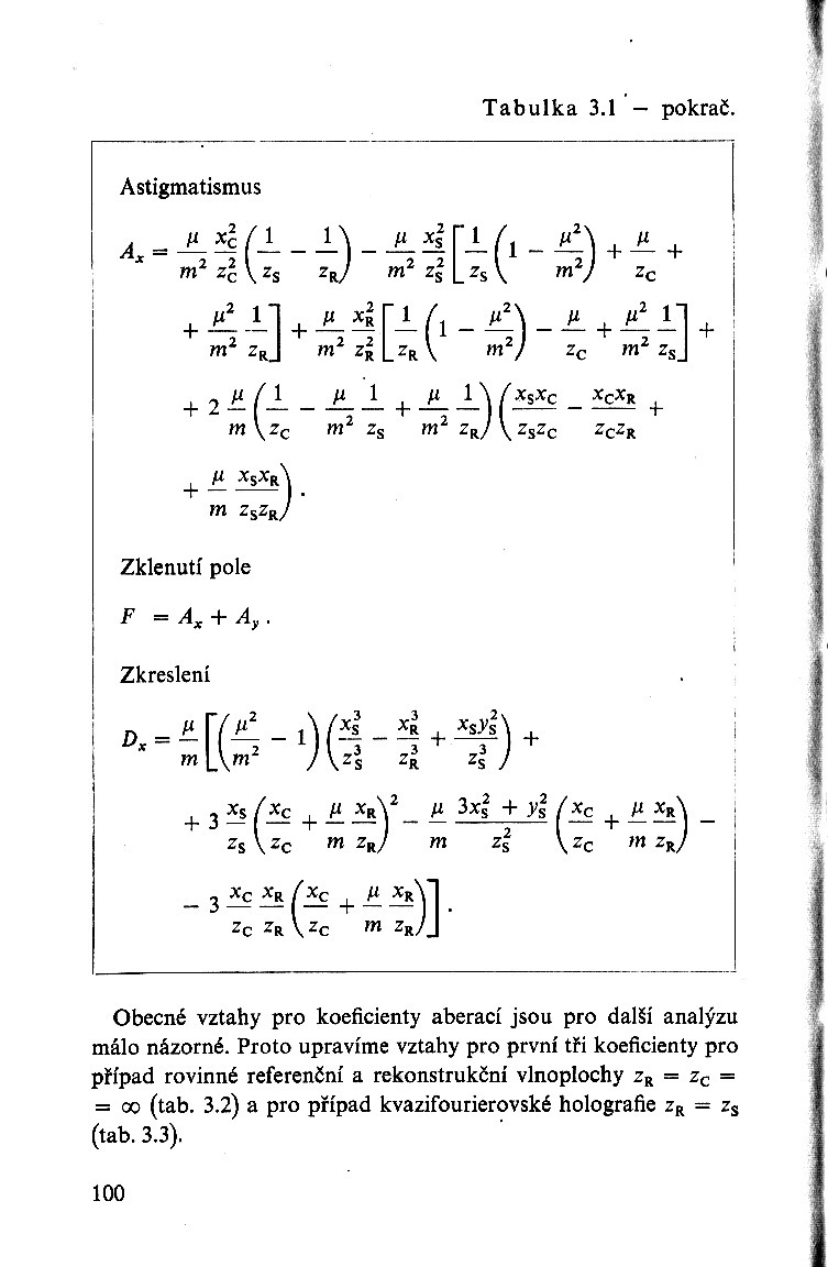
100.jpg100.jpg