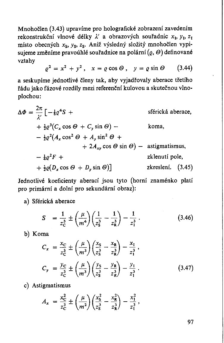
096.jpg096.jpg