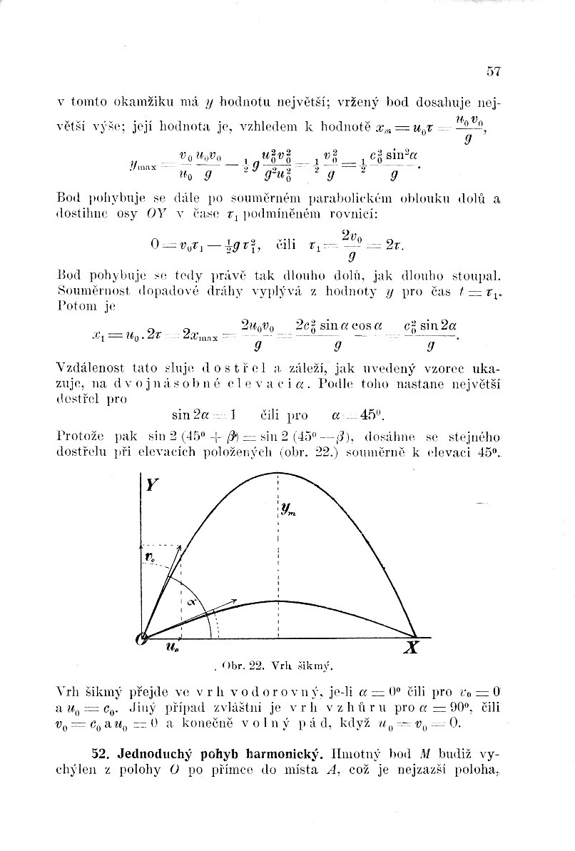
056.jpg056.jpg