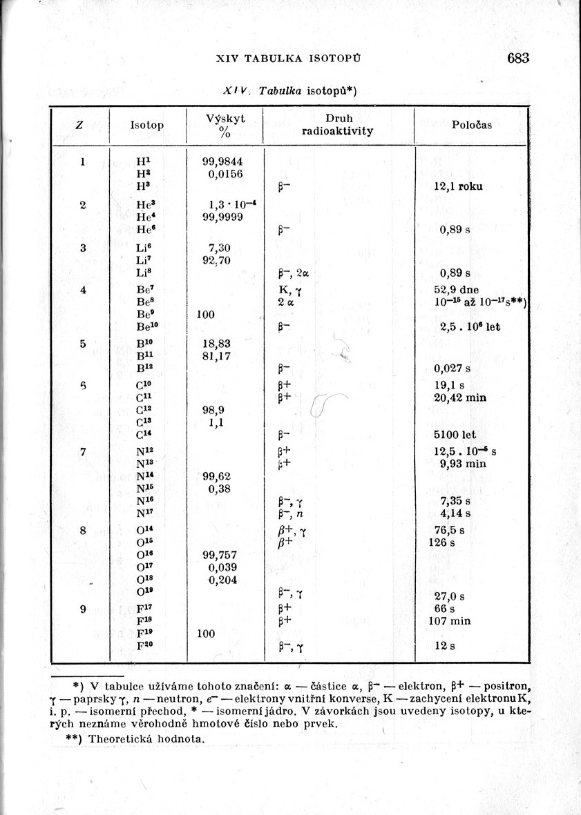
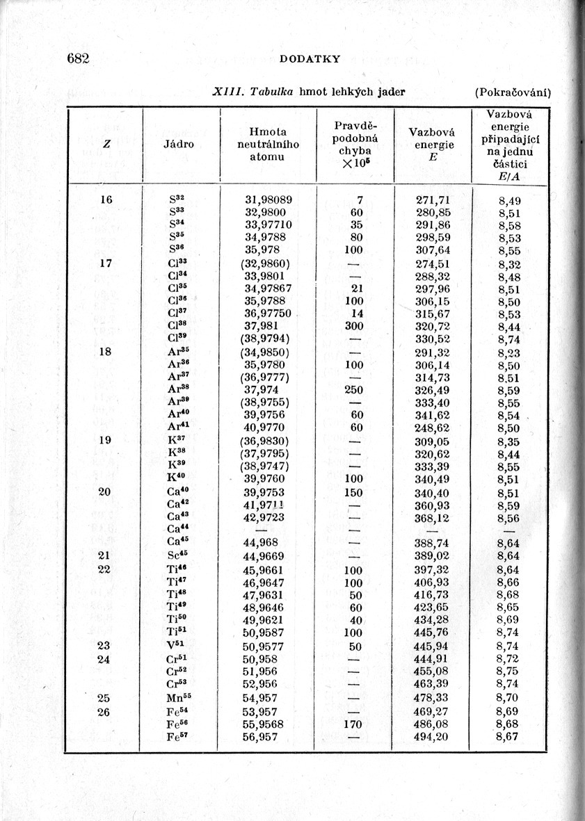
682.jpg682.jpg