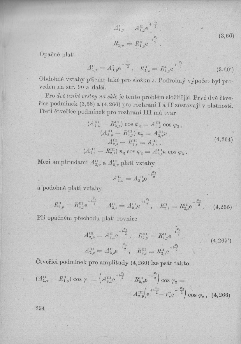
254.png254.png