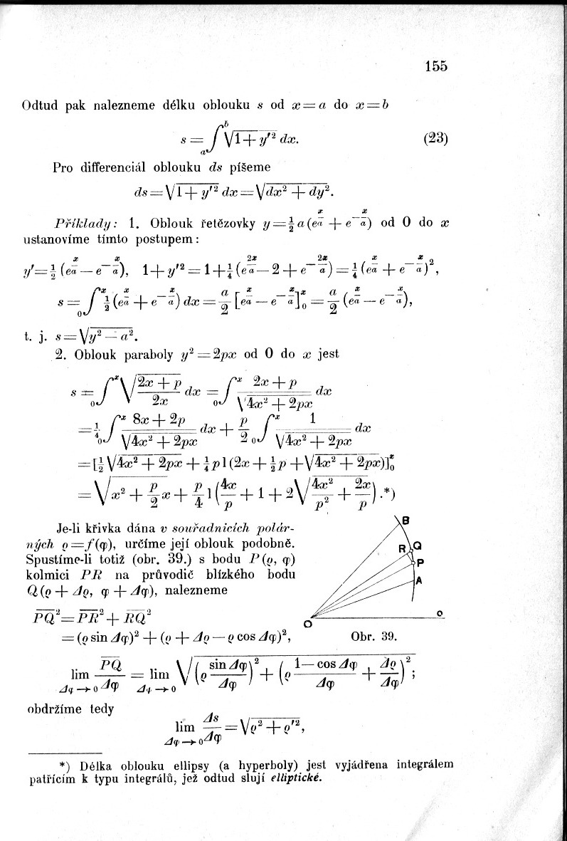
154.jpg154.jpg