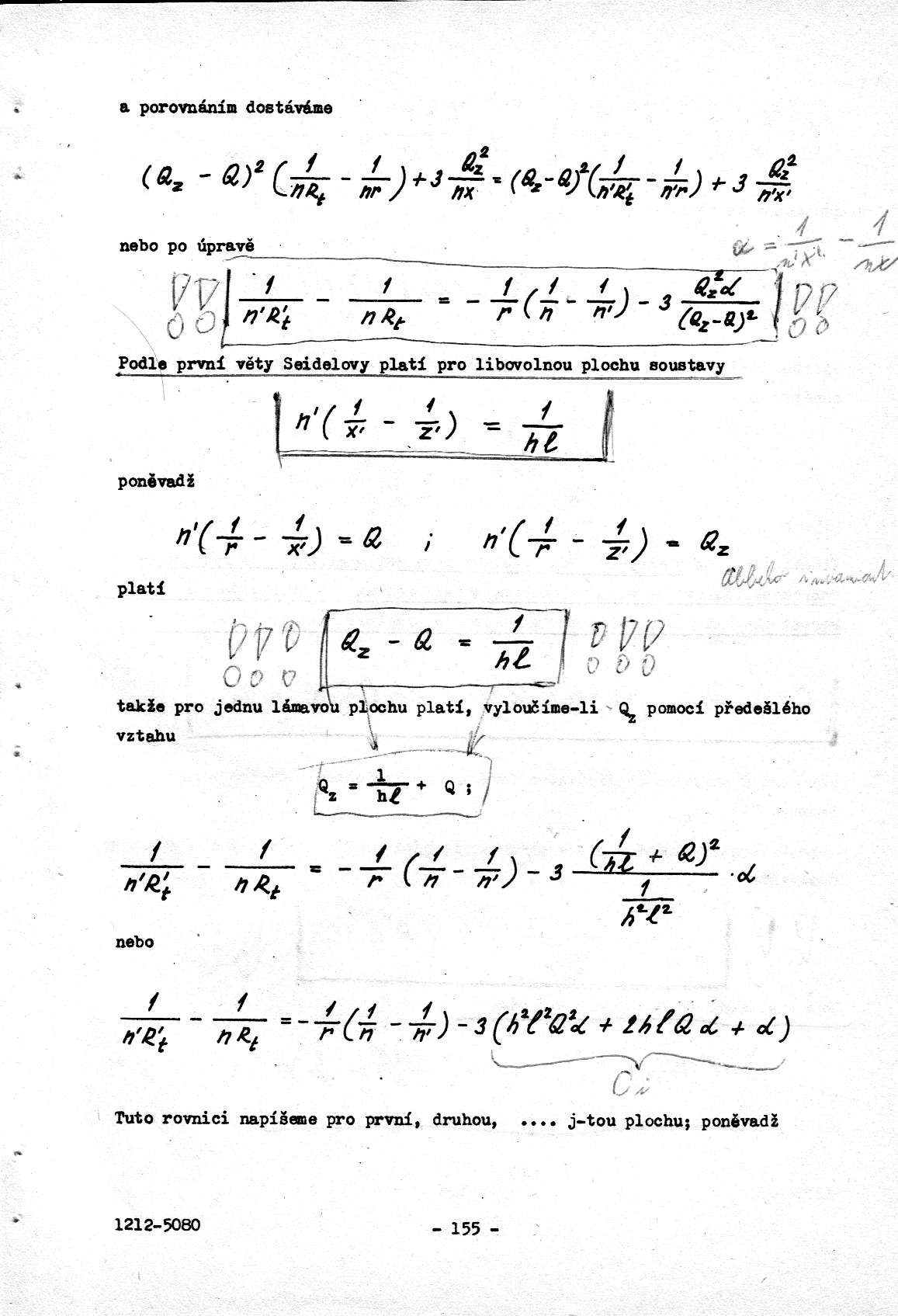
154.jpg155.jpg