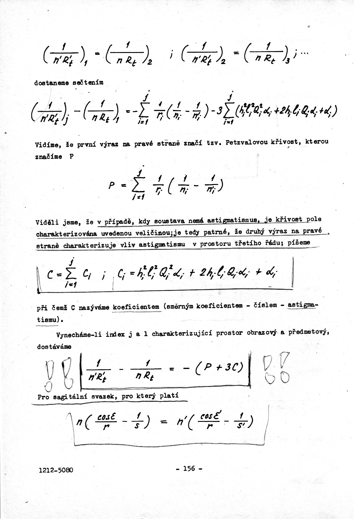
156.jpg157.jpg