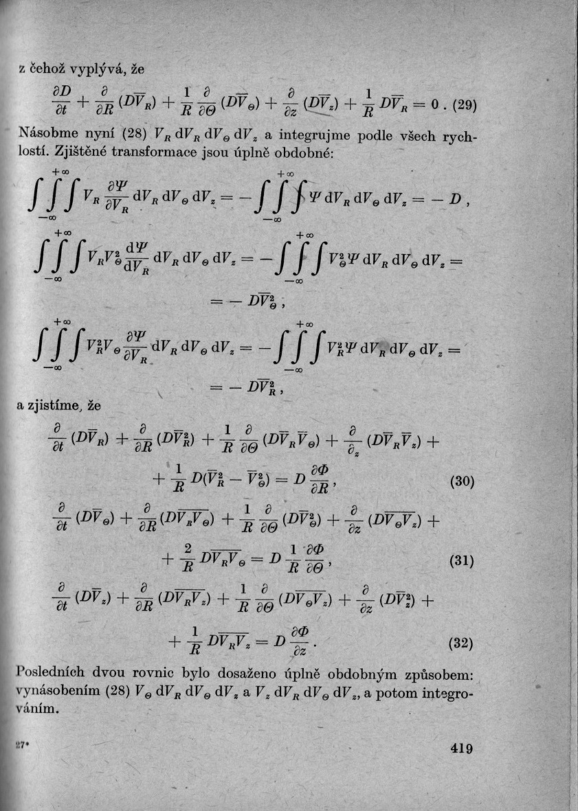
418.jpg418.jpg